Command/ startmathalignment

Unofficial ConTeXt Wiki mirror

Last modified: 2024-12-09

Summary

The instances of \startmathalignment ... \stopmathalignment are used for math alignments.

Instances

\startalign ... \stopalign
\startmathalignment ... \stopmathalignment

Settings instance

\startMATHALIGNMENT[...=...,...] ... \stopMATHALIGNMENT
...=...,... inherits from \setupmathalignment

Description

Using \startmathalignment one can align mathematical equations similar to what is known from LaTeX's amsmath package. It is used inside formulas. The usage is straightforward:
\startformula
  \startmathalignment[...=...]
    \NC ... \NC ... \NR
  \stopmathalignment
\stopformula

As in tabular materials \NC is used as column separator and \NR as row separator. Whether the formula is numbered can be controlled by prefixing \placeformula to \startformula. This will place a single number vertically centred with respect to the equation. When all the subformulas should be numbered individually, one specifies number=auto.

There is a predefined shorthand for \startmathalignment which is \startalign to match the amsmath name. However, \startmathalignment should be preferred, as \startalign already has a different meaning outside math mode.

Examples

Example 1

To imitate certain LaTeX contructs (some might not yet work on the Wiki). More examples can be found in A. Mahajan, Display Math in ConTeXt, MAPS 34, 22–34 (2006).

  • align
  • \placeformula
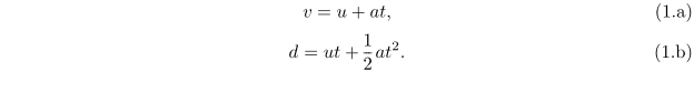
    \startformula
      \startmathalignment[number=auto]
        \NC v \NC= u + at, \NR
        \NC d \NC= ut + \frac{1}{2} at^2. \NR
      \stopmathalignment
    \stopformula
    
  • gather
  • \placeformula
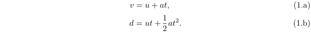
    \startformula
      \startmathalignment[n=1,number=auto]
        \NC v = u + at, \NR
        \NC d = ut + \frac{1}{2} at^2. \NR
      \stopmathalignment
    \stopformula
    
  • alignat
  • \placeformula
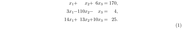
    \startformula
      \startmathalignment
        [n=7,align={right,left,right,left,right,left,right}]
        \NC x_1 \NC + \NC x_2 \NC + \NC 6x_3 \NC = \NC 170, \NR
        \NC 3x_1 \NC - \NC 110x_2 \NC - \NC x_3 \NC = \NC 4, \NR
        \NC 14x_1 \NC + \NC 13x_2 \NC + \NC 10x_3 \NC = \NC 25. \NR
      \stopmathalignment
    \stopformula
    

Note: In ConTeXt LMTX 2024.10.31, the above example should be modified as follows to reproduce the same behaviour:

  • \placeformula
    \startformula
      \startmathalignment
        [n=7,align={1:right,2:left,3:right,4:left,5:right,6:left,7:right}]
        \NC x_1 \NC + \NC x_2 \NC + \NC 6x_3 \NC = \NC 170, \NR
        \NC 3x_1 \NC - \NC 110x_2 \NC - \NC x_3 \NC = \NC 4, \NR
        \NC 14x_1 \NC + \NC 13x_2 \NC + \NC 10x_3 \NC = \NC 25. \NR
      \stopmathalignment
    \stopformula
    

Notes

See also

Help from ConTeXt-Mailinglist/Forum

All issues with: