Command/placeformula

Unofficial ConTeXt Wiki mirror

Last modified: 2023-09-14

Summary

The command \placeformula places a displayed math formula

Settings

\placeformula[...,...]{...}
[...,...] + - reference
{...} text

Option Explanation
text either a braced argument, or a \startformula ... \stopformula block

Description

Place a displayed math formula, including equation number.

The text argument is typically a \startformula ... \stopformula block instead of a literal braced argument.

Examples

Example 1

  • \placeformula[formula:aformula]
    \startformula
    y=x^2
    \stopformula
    \placeformula
    \startformula
    \int_0^1 x^2 dx
    \stopformula
    

Numbering tricks

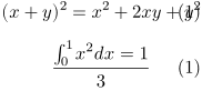
If you wish to begin the numbering anew you can add \resetnumber before \placeformula:

  • \placeformula[formula:aformula]
    \startformula
    (x+y)^2 = x^2 + 2xy + y^2
    \stopformula
    \resetnumber[formula]
    \placeformula
    \startformula
    \int_0^1 x^2 dx = {1 \over 3 }
    \stopformula
    

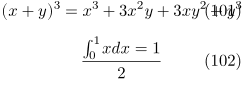
If you wish to start the numbering at a certain number, say at 100, you can add \setnumber before \placeformula:

  • \setnumber[formula][100]
    \placeformula[formula:aformula]
    \startformula
    (x + y) ^3 = x^3 + 3x^2y + 3xy^2 + y^3
    \stopformula
    \placeformula
    \startformula
    \int_0^1 x dx = {1 \over 2}
    \stopformula
    

Notes

See also

Help from ConTeXt-Mailinglist/Forum

All issues with: