Palatino with Euler for Math - Old Content

Unofficial ConTeXt Wiki mirror

Last modified: 2020-06-04

Palatino, designed by Hermann Zapf, is an elegant font. To typeset a document in Palatino:

\usetypescript[palatino][ec]
\setupbodyfont[palatino,11pt]

(I use 11pt because I find 12pt slightly too large, but choose your favorite size.)

That setup uses Palatino for text and mathematics. To set the mathematics in Euler (also designed by Hermann Zapf),

\usetypescript[palatino][ec]
\definetypeface [palatino] [mm] [math] [euler] [euler] [rscale=1.03] 
\setupbodyfont[palatino,11pt]

(The rscale setting is to match the Euler font height to the Palatino height.)

To get boldface mathematics symbols, add one line to the preceding setup:

\usetypescript[palatino][ec]
\definetypeface [palatino] [mm] [math]   [euler] [euler][rscale=1.03]
\definetypeface [boldmath] [mm] [boldmath][euler][euler][rscale=1.03]
\setupbodyfont[palatino,11pt]

Then use \boldsymbol.

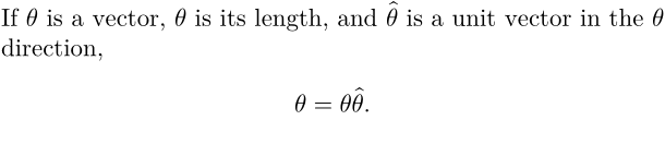
Here is an example:

\usetypescript[palatino][ec]
\definetypeface [palatino] [mm] [math]   [euler] [euler][rscale=1.03]
\definetypeface [boldmath] [mm] [boldmath][euler][euler][rscale=1.03]
\setupbodyfont[palatino,11pt]

\def\thetavec{{\boldsymbol\theta}}
\def\thetahat{\hat\thetavec}

If $\thetavec$ is a vector, $\theta$ is its length, and $\thetahat$ is
a unit vector in the $\thetavec$ direction,
\startformula
\thetavec = \theta\thetahat.
\stopformula

which produces

Mk IV

The above won't work in Mk IV. For hints on how to get Euler working there, read the thread at http://www.ntg.nl/pipermail/ntg-context/2010/052632.html

TL;DR: It should be enough to use pagella-euler typescript.