Command/startsubformulas

Unofficial ConTeXt Wiki mirror

Last modified: 2024-05-16

Summary

The environment \startsubformulas ... \stopsubformulas is used for ...

Settings

\startsubformulas[...,...] ... \stopsubformulas
[...,...] + - reference

Description

Examples

Without and with

  • \setuplayout[scale=0.8,width=13cm]
    
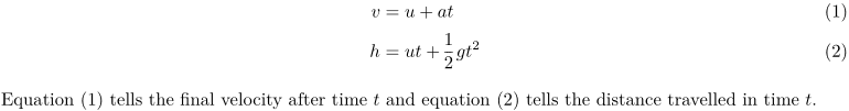
    \startplaceformula
    \startformula \startalign
     \NC v \NC = u + at \NR[eq:v]
     \NC h \NC = ut + \frac12 gt^2 \NR[eq:h]
    \stopalign \stopformula
    \stopplaceformula
    
    
    Equation~(\in[eq:v]) tells the final velocity after time~$t$ and equation (\in[eq:h]) tells the distance travelled in time~$t$.
    
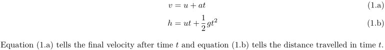
  • \setuplayout[scale=0.8,width=13cm]
    \startsubformulas[eq:total]
    \startplaceformula
    \startformula \startalign
     \NC v \NC = u + at \NR[eq:v]
     \NC h \NC = ut + \frac12 gt^2 \NR[eq:h]
    \stopalign \stopformula
    \stopplaceformula
    \stopsubformulas
    
    Equation~(\in[eq:v]) tells the final velocity after time~$t$ and equation (\in[eq:h]) tells the distance travelled in time~$t$.
    

Difference between \startformulas \startsubformulas

  • \startplaceformula
    \startformulas
      \startformula \startalign
      \NC v \NC = u + at \NR[eq:v]
      \NC h \NC = ut + \frac12 gt^2 \NR[eq:h]
      \stopalign \stopformula
      \startformula \startalign
      \NC v \NC = u + at \NR[eq:v2]
      \NC h \NC = ut + \frac12 gt^2 \NR[eq:h2]
      \stopalign \stopformula
    \stopformulas
    \stopplaceformula
    
    \startplaceformula
    \startsubformulas
      \startformula \startalign
      \NC v \NC = u + at \NR[eq:v3]
      \NC h \NC = ut + \frac12 gt^2 \NR[eq:h3]
      \NC v \NC = u + at \NR[eq:v4]
      \NC h \NC = ut + \frac12 gt^2 \NR[eq:h4]
      \stopalign \stopformula
    \stopsubformulas
    \stopplaceformula
    

Notes

See also

Help from ConTeXt-Mailinglist/Forum

All issues with: